Semiclassical Simulations of Dissipative Spin Systems


Simulating quantum many-body dynamics is notoriously difficult due to the exponential growth of the Hilbert space with system size. In our team, we develop and apply the discrete truncated Wigner approximation (DTWA) - a semiclassical simulation method whose computational cost scales only linearly with system size. DTWA effectively incorporates key quantum fluctuations beyond mean-field theory, enabling the study of driven and dissipative quantum systems that were previously inaccessible to exact numerical methods.
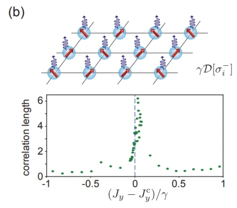
Using DTWA and other semi-classical methods such as quantum state diffusion, we investigate collective and critical phenomena in open spin systems. Recently, we have simulated Dicke superradiance in disordered one-dimensional atomic arrays, and found that cooperative light emission persists even under strong disorder, with the total emission rate scaling quadratically with the number of spins. In another recent work, we have shown that the essential features of superradiant bursts could be described by a semi-classical description, without the need include large entanglement in the system. We also study dissipative phase transitions in two-dimensional Heisenberg XYZ models, where DTWA captures the emergence of critical correlations and the divergence of correlation lengths near the transition point.
People: Przemyslaw Zielinski, Xin Zhang, Franz Pöschl
Related publications:
Unraveling Superradiance: Entanglement and Mutual Information in Collective Decay, X. H. H. Zhang, D. Malz, and P. Rabl, Phys. Rev. Lett. 135, 033602 (2025)